There is no question that DeFi has had a huge impact on the status quo of the financial industry and has become what many refer to as one of the most revolutionary innovations of the past decade. For the first time in history, individuals can access financial products and exchange value with no centralized entities and no third-party authoritarian middlemen determining what can and cannot be done.
DODO is one of those DeFi projects, a DEX that describes itself as a “liquidity protocol powered by the Proactive Market Maker Algorithm and built for capital efficiency.” This highly rated DEX has been picking up adoption and popularity at an impressive pace, absolutely dominating during the 2021 bull run. This DODO crypto review will provide you with everything you need to know about this powerful DeFi protocol.
DODO TL; DR
DODO is a decentralized trading platform that uses a unique and innovative Proactive Market Maker (PMM) algorithm to provide efficient on-chain liquidity for Web3 assets, making it easy for anyone to provide liquidity and not only trade assets, but issue them as well.
Key Takeaways:
- Decentralized Platform where users can trade assets cross-chain and issue their own assets.
- Lucrative staking and LP mechanics.
- Clean, simple to navigate platform for experienced DeFi users.
- NFT platform where users can mint and fractionalize NFTs.
- Projects can list their tokens with fewer barriers and at a lower cost than what is possible with traditional AMM DEX protocols.
DODO Summary:
| Headquarters: | N/A- Decentralized platform |
| Year Established: | 2020 |
| Regulation: | None- Decentralized |
| Spot Cryptocurrencies Listed: | Thousands of tradeable pairs across multiple chains |
| Native Token: | DODO |
| Maker/Taker fees: | 0.3% flat fee on trades. |
| Security: | Secured by the Ethereum network + multiple security audits have been conducted. |
| Beginner-Friendly: | No- DEXs have a steep learning curve, with concepts not familiar to inexperienced users. Those familiar with DeFi will find DODO straightforward to use and navigate. |
| KYC/AML Verification: | None |
| Fiat Currency Support: | None |
| Deposit/Withdrawal Methods: | Crypto |
Review: What is DODO?
DODO is a Decentralized Exchange (DEX) built on the Ethereum network, competing with the likes of Uniswap and SushiSwap for market share. Though originally created on Ethereum, DODO has expanded to Binance’s BNB Chain, Polygon, and a host of others that we will cover later on.
A Look at the DODO HomepageWhere DODO differs from traditional decentralized exchanges is that it is aiming to be a next-generation decentralized exchange when it comes to on-chain liquidity providing (LP). While most DEXs such as Uniswap use an Automated Market Maker (AMM) algorithm, DODO is powered by a Proactive Market Maker (PMM) Algorithm.
The PMM algorithm attempts to eradicate impermanent loss and improve liquidity, improving on the arguably outdated AMM model used by Uniswap. By being “proactive”, DODO is capable of responding to liquidity constraints in real-time as well as adapting to changing market conditions, a restraint that DEXs that use an AMM model are unable to overcome.
While the AMM model has paved the way for DEX's and helped give rise to DeFI protocols, many feel that it is time for the next generation of DEX, which is exactly what DODO is attempting to become. Second-generation LP technology is here, creating on-chain, contract-fillable liquidity for all users.
Image via DODOTrading crypto on the DODO exchange is highly efficient in terms of trade execution, offering deep liquidity and low slippage. DODO crypto trading feels similar in terms of trade execution to trading on high-performance centralized exchanges like Binance.
Comparing to AMM functions, the mechanism used by the PMM algorithm imitates more “human” like pricing and operates through oracles, linking real-time data with the blockchain. We will go more into the inner workings of the protocol in a later section.
The DODO exchange was launched in August 2020, founded by three experts in the blockchain industry: Mingda Lei, Diane Dai, and Qi Wang.
Check out the Founder’s AMA on the DODO BlogMingda Lei is the acting CEO of DODO. He created the PMM model that is used by the protocol and was previously a core developer at the margin trading platform DDEX.
Diane Dai is the current Chief Marketing Officer and is in charge of marketing efforts and fronts multiple community initiatives such as communicating with the community on WeChat, and running a number of channels including DeFi Labs.
Qi Wang is the current COO at DODO. Qi is a software developer and founder of the DOS Network, a layer 2 oracle service. He also worked at Oracle before co-founding DODO.
DODO has some seriously impressive backers and partners behind the platform, and it makes sense. After seeing what an explosive impact Decentralized Exchanges like Uniswap and SushiSwap had on the industry, as soon as DODO came along claiming to be like that, but better, a next-generation DEX, heads were turned and attention was garnered by the likes of Pantera, Binance, Coinbase, Alameda and others.
Image via DODOThat list is like the who’s who of crypto, a lot of interest and money is behind this project. Alright, now that you have a bit of background info about DODO, let’s dive into the platform.
DODO Exchange Key Features
DODO has some unique and innovative features, but before we get into those, it is important to understand how DODO works and what makes it different.
The PMM Algorithm
To understand the DODO crypto exchange and why it is so much more than simply another one of the dozens of Uniswap clones out there, it is important to understand the PMM algorithm and how it differs from the traditional AMM algorithm.
We will use Uniswap as the model for AMM-based decentralized exchanges throughout this review. An examination of Uniswap will give us a basic understanding of how automated market-making works while highlighting the shortfalls inherent in the design of AMMs, such as impermanent loss risk, slippage, and the use of arbitrageurs to create a functioning DEX.
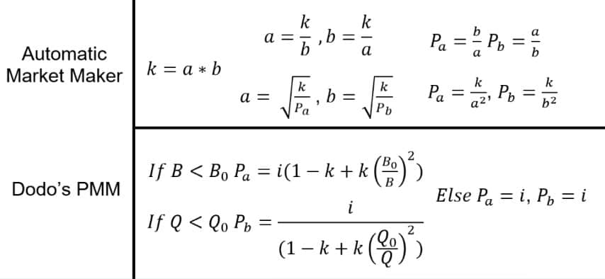
Here is an image of how the AMM model from Uniswap compares to the PMM model of DODO:

Now, don’t worry if those equations above make about as much sense to you as trying to read Egyptian hieroglyphics through a kaleidoscope in the dark. For anyone familiar with my articles here at the Coin Bureau, I often joke that I have an IQ level equal to that of a banana, so I’m going to simplify this all so I can wrap my head around it, feel free to follow along.
If you are one of those smart kids who got straight A’s in math class, you can read this fantastic article from Trust Wallet that explains the formula behind DODO’s PMM model.
DODO minimizes both impermanent loss and slippage and does away with the need for arbitrageurs to make the PMM model work.
Why is AMM inferior as a DEX protocol? Image via Crypto HopperMany consider AMMs as superior to the centralized exchange model as they do away with the need for control and authority over an exchange, levelling the playing field for everyone involved in the market. One of the key differences between an AMM DEX and a centralized exchange is the way in which they price the tokens listed on the exchange.
On a centralized exchange, the exchange searches for a counterparty for each trade, thus setting the price based on the counterparty’s asking price. The AMM replaces counterparties with a smart contract that stores a pool of tokens, which is where the liquidity comes from. This pool of tokens is provided by the users of the DEX.
Users are given an incentive for placing their tokens in the liquidity pools in the form of yield on their provided assets. On Uniswap, the 0.3% trading fee is distributed as an award among all the liquidity providers as a reward, and this helps keep the platform running as it encourages the provision of liquidity.
The workings of the Uniswap AMM liquidity pools. Image via Uniswap.orgIt is also good to know that there are different varieties of AMMs. In the case of Uniswap, the variety used is a Constant Product Market Maker (CPMM). This model gets its name from the constant product of its price algorithm. Rather than using supply and demand to determine the price of assets, which most orderbook-based exchanges do, Uniswap uses the equation: x*y=k
In this equation, both “X” and “Y” represent the supply in a given token pool on the platform. As traders buy and sell “X” and “Y”, the price of each changes to keep “K” as a constant.
This design has become popular as it has helped to inspire a wide range of innovations and new ideas in decentralized markets. The model created by Uniswap has made it possible for anyone to provide liquidity for any ERC-20 token.
Now, this AMM model and CPMM variant used by Uniswap is great for decentralized exchanges and trading, but has its faults. Here are the key drawbacks to the AMM model:
- Liquidity providers have to deposit both assets in equivalent proportions rather than just one.
- Token issuers need a second asset in bulk to issue their token since the AMM formula isn’t compatible with single asset pools.
- Impermanent loss and high slippage are rampant.
Let’s explore some of these drawbacks.
AMM Slippage
Slippage refers to the difference between the price agreed to during the purchase of an asset and the actual price the transaction gets executed at. Many of us, myself included, have experienced this first-hand and it sucks. I remember thinking that I am getting “X” amount of an asset at “Y” price, but once the transaction was settled, I received way fewer of my favourite token than I expected, yet spent the same amount of money.
Here is a great visual from Forex trading educational site Babypips that explains Slippage:
Image via babypips.comIt's kind of like if you want to buy a bag of chips for $1, thinking $1 is a pretty good deal. Then you get the bag home, sit down to watch your favourite film while enjoying your chips, open the bag and it turns out it was all air and there are only like 10 chips in the bag. Bummer!
Slippage is most noticeable during periods of high market volatility and the fluctuations can be quite extreme. The problem of slippage is also exacerbated by the fact that many of our favourite blockchains experience relatively slow execution times, meaning slippage has more time to occur while waiting for transactions to complete.
Here is a look at slippage risk at Uniswap vs DODO, as you can see, the Uniswap curve is significantly greater.
Slippage Risk is far Greater at Uniswap vs DODO. Image via DODO Whitepaper.Lack of liquidity will also contribute to slippage. With assets that have low liquidity, a large trade can cause the asset price to soar or plummet instantaneously.
Uniswap has managed to minimize slippage on smaller trades, which is the majority of trading that takes place as it is predominantly retail traders who use the DEX. However, large trades from whales can still cause significant slippage in some cases.
AMM Impermanent Loss
Another, more complicated issue faced by AMMs like Uniswap is impermanent loss.
One way to avoid this is to have prices on the exchange provided by a third-party oracle like Chainlink. Uniswap does not use price oracles, but instead relies on the internal algorithm mentioned above to dictate pricing.
Because of this, prices on Uniswap can differ drastically from the prices advertised for the same asset on other platforms and data sources. Here is a great diagram from Splintertalk.io showing an example of impermanent loss:
Impermanent Loss Explained. Image via SplintertalkImpermanent loss happens when the price ratio of the supplied token pair changes. The more volatile the assets are in the pool, the more likely it is that users may be exposed to impermanent loss. The AMM system requires that the total liquidity remains balanced across both tokens to maintain equilibrium within the pool.
The “impermanent” part means that the value of the token that was readjusted to maintain equilibrium may return to its initial price if left in the pool. If the user withdrawals their tokens while the balance is off, they could be withdrawing tokens that now have a lower value than when they were entered into the pool, which turns the “impermanent” loss part to “permanent” loss as withdrawing the tokens made the loss “realized” and no longer “unrealized” to use financial terms.
Then that brings us to the issue of arbitrage which adds fuel to the flames of the impermanent loss issue. If a price of a token rises or falls by 10% on a centralized exchange, that price change may not be immediately reflected on an AMM DEX. This creates a period of time in which arbitrageurs can take advantage of the price difference to make a profit.
Arbitrage is very common on Uniswap as traders (and bots) can act quick and buy cheap assets or sell expensive ones and make profit. This wouldn’t normally be an issue until you factor in how the liquidity pools work on Uniswap. Because liquidity pools cannot block this type of arbitrage activity, they can at times experience extreme losses in the form of impermanent loss.
Here is a simple diagram explaining arbitrage trading:
Image via medium/@roriehoodUsers need to stake their assets in liquidity pools on Uniswap to earn their rewards, but during periods of volatility and large price changes where arbitrageurs get involved, the amount of staked assets in the liquidity pools can change dramatically to keep the value of “K” constant.
For a more in-depth explanation of impermanent loss, you can head over to our article on Growth DeFi, another DeFi platform trying to eliminate impermanent loss where we explain the concept in greater detail.
How DODO Tackles the AMM Problem
DODO’s Proactive Market Maker solution uses off-chain price oracles to provide real-time, accurate pricing information about each asset offered on the platform. It uses the data provided by the oracle to calculate the ideal market price. Once the market price is determined, DODO can sell liquidity tokens for the quote token based on the curve shown below:
A more efficient liquidity curve. Image via DODO whitepaperThis model decreases the liquidity away from the market price rapidly, which removes the arbitrage opportunities and provides a more efficient exchange system.
The PMM model used by the DODO crypto exchange encourages only the type of arbitrage trading that helps to ensure the exchange price matches the market price. This aim is not unique, but the PMM is unique in that it shifts the price curve, which helps it achieve an efficient liquidity structure.
As DODO has been around since mid-2020, we now have decent history showing a track record supporting evidence that this model is superior to the traditional AMM model. The PMM model has proven that it not only provides enough liquidity for an unlimited number of trading pairs but also benefits liquidity providers at the same time.
In short, the PMM system effectively mitigates impermanent loss risks, enticing liquidity providers to the platform. The model also takes advantage of the flaws known to exist in traditional orderbook-based and AMM exchanges, flaws such as being dependent on human input to function, being too expensive to operate, or being unable to provide the necessary liquidity to operate.
In the interest of transparency, the PMM model has its drawbacks as well, though they are fewer and less severe than the flaws in the AMM model. The PMM model is obviously a poor choice for arbitrage traders, and DODO is heavily reliant on Chainlink oracles for pricing, exposing the DODO platform to a single point of failure risk should any issues arise with the oracle.
Alright, that covers the market maker protocol on DODO, let’s take a look at the features and functions.
Providing Liquidity on DODO
LPs on DODO can add single assets to a trading pair pool and start earning rewards. This was accomplished by DODO simply altering the AMM algorithm with its own unique Proactive Market Maker algorithm that switches the x*y=k equation used by Uniswap with the following algorithm:
Proactive Market Maker equation. Image via DODO whitepaper.In the equation above, the symbol “i” represents the market price of an asset and “R” represents the risk factor. Understanding “R” is key to understanding how DODO incentivizes high liquidity at accurate prices.
DODO uses the price feeds from Chainlink oracles to establish the value of “I”. The Chainlink partnership provides DODO with real-time market data that gives the platform a baseline to work from, allowing the algorithm to avoid large discrepancies in its price versus the actual market price of the assets. The “R” factor will also change as capital for each particular asset accumulates in the liquidity pool, recognizing the fact that greater liquidity also provides lower risk.
DODO and Chainlink Team up. Image via DODO Partnership AnnouncementThis results in the liquidity for the asset being shifted to the price of the asset based on the Chainlink data. That means the real-time price creates a baseline for the exchange prices, with the obvious downside being the need to place a lot of trust in the accuracy of the data coming from Chainlink nodes.
If a Chainlink node fails or becomes compromised, that could cause havoc on the accuracy of the data, resulting in a nightmare scenario for DODO crypto trading and losses for the liquidity providers on the platform.
Unlike AMMs, DODO’s liquidity providers are not required to provide both sides of a trading pair when adding liquidity which is a game changer, a very refreshing upgrade!
This has been touted as a great innovation as the traditional method requires users to put up equal amounts of both trading pairs. So, if I want to contribute to the USDC-ETH trading pool on Uniswap, I need to have equal amounts in value of USDC and Ethereum.
I’ve never been a fan of this. I love holding Ethereum but have little interest in holding stablecoins if I don’t have to. DODO is perfect as I can provide my ETH into a liquidity pool and earn a nice APY, without needing to hold a stablecoin. 🎉
The DODO Exchange
Here we will look at the main functionality of DODO, which is the exchange feature.
Image via docs.dodexDODO offers decentralized on-chain asset trading, providing users with order execution that is comparable in efficiency to centralized exchanges.
A Look at the DODO Exchange InterfaceUsing the Swap feature on DODO is a breeze, as mentioned, the slippage is always favourable and sufficient liquidity isn’t an issue for your average trader. Because DODO supports multiple chains, assets can be traded across the following networks:
- ETH
- BSC
- Polygon
- Arbitrum
- HECO
- OKC
- Aurora
- Moonriver
- Boba
Talk about flexible and scalable versatility! If you believe that the future is going to be multi-chain, DODO has a leg up on most of the competition here. Here’s a look at the simplicity of using the swap feature:
Gif via dodoexhelpTo access the DODO exchange, users will need to connect a wallet such as MetaMask, use WalletConnect, or the Portis wallet. MetaMask is the most popular method, you can learn more about the world’s most popular web browser wallet in our MetaMask Guide.
Alternatively, DODO can also be accessed from a mobile phone via MetaMask Mobile, Coin98 Wallet, imToken, Math Wallet, TokenPocket, BitKeep, Trust Wallet, and others.
A Look at the DODO Mobile Interface on Coin98 Wallet. Image via Coin98Traders can skip the gas fees as well and trade on DODO gas free!
That’s right, Gasless Swap routes your orders directly to a professional market maker for deeper liquidity with zero slippage and zero gas fees.
Image via DODOThis feature is only currently supported on the Ethereum mainnet and BNB Chain.
Traders can select their settings by clicking the gear button at the top right of the screen:
Gif via dodoexhelpAnd adjust the following settings:
Slippage tolerance - This is the difference between the market price and the quoted price. Keep this figure low if you want to keep your slippage to a minimum, if the slippage is greater than the tolerance setting, the trade will fail to execute. If slippage tolerance is set too low, there is a risk that the trade may never execute.
Transaction Deadline - If the interval between the time a transaction is submitted and the time it is confirmed on-chain exceeds the transaction deadline setting, the transaction will not be executed.
Expert Mode - When swapping tokens, traders may receive alert notifications when the slippage for tokens they would like to trade is high. When a token’s slippage exceeds 20%, traders will not be able to submit transactions for that token unless Expert mode is enabled.
Disable Indirect Routing - This option ensures that the routing algorithm will only route to liquidity pools between the two tokens in the trading pair, ignoring any routes with intermediary tokens. This has an advantage as it can resist front running and save on gas fees. The disadvantage is that no trade can happen between intermediary tokens, so swaps can only happen for tokens in the same liquidity pool if this option is enabled.
Private Swap - This is a feature that can protect users from sandwich attacks that could happen due to the differences between the slippage settings and the current price in the liquidity pool
DODO also has a unique and useful feature called SmartTrade. This feature finds the best order routing from aggregating liquidity sources, similar to aggregators like 1inch, to provide traders with the best prices and the most efficient execution routes.
The DODO Vending Machine
The DODO vending machine allows anyone with a wallet to create a liquidity market using DODO’s PMM technology. The DODO Vending Machine will create a liquidity market for the asset chosen by the user, a market that is decentralized, non-custodial, and accessible to anyone.
The DODO Vending machine makes token distribution and market making much simpler. Image via Medium.comThis feature is quite unique and fully permissionless, meaning that anyone with a wallet can build trading venues without having to worry about censorship and interference from the platform, making token distribution and market making fair and more accessible for everyone.
This feature is massively beneficial for blockchain developers or project teams who want to take a token to market but may not have the funds to provide the liquidity needed to launch their token on a standard AMM. You can learn more about the DODO vending machine along with handy use case examples in the DODO Vending Machine article.
DODO Private Pool
This feature is similar to the DODO Vending Machine but has more options for professional market makers who have specific requirements that cannot be met with the simplified Vending Machine.
A Look at Creating a Private Pool on DODO. Image via YouTube/DODO DexThe DODO private Pool provides market makers with the ability to perform the following:
- Make one-sided deposits/withdrawals (DVM requires two-sided liquidity provision/removal).
- Change the pricing curve at any time (DVM’s pricing curve cannot be modified after creation).
- Have liquidity everywhere in the price range from zero to limitless.
This provides several benefits for market makers, taking advantage of the configurability and flexibility of DODO’s PMM model allows for:
- Avoiding downside risk.
- Active price discovery.
- Constant price market.
- Reversion to traditional AMM model.
Thanks to these features, users can leverage the advanced pool configuration options and be their own market makers. With these parameters, countless variations are possible and makers have more flexibility than what is possible with other DEX platforms.
DODO gives market makers the freedom to devise their tailor-made liquidity solutions on-chain. You can learn more in the DODO Private Pool article.
Crowdpooling
The Crowdpooling feature enables projects to kick-start liquidity markets and distribute tokens in an equal opportunity way, without the risk of frontrunning from early investors and those with insider knowledge, and without being exposed to bot interference.
A Look at the Crowdpooling Interface. Image via DODONew projects can raise funds with a free listing thanks to DODO’s Initial DODO Offering feature, initiating liquid markets with additional security provided by the liquidity protection period.
Users can participate in liquidity offering campaigns and support their favourite projects.
Create a Token with DODO
Token creation is one of the tools DODO provides for developers. Users can quickly and easily create a token through the tool, and select configurations for token name, symbol, total number of tokens, decimal places, transaction destruction, transaction fee, and issue functions.
Here are the usage fees for creating tokens on DODO:
- ETH: 0.02 ETH
- BSC: 0.05 BNB
- HECO: 5 HT
- Polygon: 1 MATIC
- OKchain: 0.1 OKT
- Arbitrum: 0.002 ETH
- Moonriver: 0.05 MOVR
- Boba: 0.002 ETH
- Avalanche: 0.1 AVAX
Token creation is incredibly quick and easy with no coding required, and teams can even select options such as burning tokens and supply increases.
A Look at the Token Creation Process.Once created, tokens can be managed and options such as creating a pool, launching crowdpooling campaigns, or creating liquidity mining can be conducted.
Staking DODO
Staking DODO is straightforward on the platform and very simple. If you already have DODO tokens, you can simply stake them on the platform to earn more by following these steps which are taken from the DODO Blog:
- Go to the DODO Exchange app at https://app.dodoex.io/. Make sure your wallet is on the Ethereum mainnet
- Click on the “Mining” button in the upper right corner
- Click on the first tab, “DODO”, there you will see the following screen, consisting of the balance of your realized mining rewards, your claimable rewards, and a list of options:
Image via DODO4. You will see the info relevant to DODO staking, such as APY, unstaked and staked amount, and reward allocations.
5. Now you can choose stake or unstake, and a popup will show up asking if you would like to proceed. Click “confirm”, then you will need to approve the transaction in your crypto wallet. Two transactions will need to be approved in the wallet, one for the approval of the smart contract interaction, then the second for the actual act of staking.
Image via blog.dodoex.io- Once staking is complete, the interface will update and show the staked amounts and rewards like so:
Image via blog.dodoexDODO rewards can be claimed by clicking on the “claim” button. Hitting this button will pop open your MetaMask wallet to approve and confirm the transaction.
Pro Tip: This goes for any crypto platform, be sure to understand that the act of claiming rewards will most often incur network fees. Be sure the rewards have accumulated enough to justify the network fees. If your reward is worth $1.50 of DODO but the network fee is $5 worth of ETH, it doesn’t take a math whiz to see you’re losing money claiming rewards too frequently.
DODO can be unstaked at any time by clicking the ‘Unstake” button.
Mining DODO
DODO tokens can be mined by providing liquidity for any trading pair available on DODO and depositing the corresponding DODO Liquidity Provider (DLP) tokens. We will use the ETH-USDC trading pair as an example and go through the steps from the DODO blog and look at how to mine DODO tokens below:
- Go to the DODO Exchange app at https://app.dodoex.io/. Make sure your wallet is on the Ethereum mainnet
- Click on the “Exchange” button in the upper right corner
- Click on the “Pool” tab
- Select the “ETH-USDC” option in the dropdown menu
- Click on the “Deposit” button
- Enter the amount of ETH (or USDC) tokens you would like to deposit
- If everything looks good to you, click “Confirm”. Approve and confirm the transaction via your wallet
Image via dodoex.io- Once the transaction is complete, users can verify their liquidity contribution by clicking on the “My Pool” button in the top right corner.
- Click on the “Mining” button in the upper right corner
- Then the following screen will appear showing the balance of the realized mining rewards, claimable rewards, and some options. Click the “ETH-USDC” tab
Image via dodoex.io- Click on the “Approve” button, and because ETH was deposited into the liquidity pool, you will now have the ETH DLP token for the ETH-USDC trading pair.
Image via dodoex.io12.Click “Confirm” in the popup that comes up, then approve and confirm the transaction in your wallet.
- An interface will then pop up that will allow you to “Stake” your DLP tokens, looking like this:
Image via dodoex.ioYou will need to hit confirm and approve again in your wallet
- Once the DLP tokens have been staked, the interface will update and show a DODO balance with the 🎁 icon. The balance will continuously update, as will the claimable rewards. That interface will look like this:
Image via dodoex.ioRewards can be claimed at any time and DLP can be unstaked by simply hitting the “Unstake” button, then confirming and approving the transaction in the wallet.
And that is it, DODO provides an attractive and lucrative rewards mechanism for users who like to stake and provide LP on the platform. This was one of the features that launched DODO into the spotlight as this two-pronged rewards system is highly beneficial for users who are bullish on the future of the platform.
DODO NFT Vault
I know you are probably thinking, “yeah yeah, another NFT marketplace, whoopie… *yawn*”, but hold up, this isn’t another bog standard NFT platform that is a simple copy-paste clone of every other NFT marketplace out there, don’t worry.
Image via dodonft.ioThe DODO NFT Vault is a price discovery and liquidity protocol for non-standard assets. It allows users to create new NFTs or use existing NFTs and pledge them into the DODO NFT Vault.
The NFTs can be kept unique, or they can be fractionalized, which divides the NFTs in the Vault into many shares with fungible tokens minted to represent each user’s share. Once the Vault is established, a liquidity pool for the NFT can be created to establish a flexible and efficient market to trade the fractionalized pieces, or whole NFT. This market is also powered by DODO’s Proactive Market Maker Algorithm.
Through DODO’s SmartTrade and liquidity aggregation service, the pieces can be traded seamlessly with ease, for any tokens at the best price. Here is a quick breakdown/summary of how the 3-step process looks:
- Users can create new or use existing NFTs and pledge them into the DODO NFT Vault.
- The NFT can then be fractionalized into pieces, fungible tokens are issued to represent the pieces.
- A flexible Liquidity Pool can be created for the NFT powered by DODO’s PMM algorithm
DODO Fees
DODO charges a flat fee of 0.3% for all buy and sell transactions. These fees go back to the community and LP providers, distributed like so:
Image via DODO DocsThen of course, there will be the regular network withdrawal fees that are not charged by DODO, but are standard across the crypto industry. You can learn more about that in our article on Understanding Network Fees.
DODO KYC and Account Verification
Because DODO is a decentralized exchange, there is no KYC or account verification necessary. If you are just coming across the concept of Decentralized Finance for the first time, check out Guy’s video on DeFi 101:
DODO Security
As this is a decentralized platform, the responsible use of the platform lies primarily with the user, not the platform itself. While DODO is secured by the underlying blockchain protocols it utilizes, ultimately, when it comes to DeFi, all the security that comes along with self-custody applies to DeFi usage.
Cybersecurity and responsible computer hygiene is a must when using decentralized applications or using crypto. One of my favourite analogies is that you can own a car with the most sophisticated security features in the world, but if you park it in a bad neighbourhood overnight and leave the keys on the hood, someone is going to exploit it.
Crypto is similar. If you are using a device that is loaded with viruses and malware, and you use the same password for everything and save recovery phrases online, you are likely to have a bad time. Be sure to understand how to use crypto securely, Exodus has one of my favourite, most comprehensive articles on how to keep your crypto safe.
User responsibility aside, I will say that DODO has taken some pretty impressive measures to ensure the safety and security of their smart contracts and platform itself. DODO undergoes strict security audits by some of the most prestigious blockchain auditing firms in the industry:
Image via DODODODO is one of the most secure and heavily audited DeFi protocols that I have come across, and as long as you are using crypto responsibly from the user end, the DODO protocol is highly secure.
Cryptocurrencies Available on DODO
Traders can trade any token that has liquidity on the DEX, for any one of the chains it supports. Thousands of tokens across the ETH, BSC, Polygon, Arbitrum, HECO, OKC, Aurora, Moonriver and Boba are supported.
DODO Exchange Platform Design and Usability
DODO is well-designed, simple, and offers a clean interface that is incredibly easy to navigate and find your way around.
A Look at the DODO InterfaceAll the features and option navigation icons are shown above in red, it's nearly easy enough to navigate and use with your eyes closed. As mentioned, the concepts and products offered will likely seem quite alien to users who are either new to crypto or have only ever used a crypto exchange like Binance or SwissBorg, so it may take some getting used to.
As far as using DODO on mobile, I accessed the interface through both the Coin98 wallet and Trust Wallet and found it worked just as well as the web interface, I could not find much fault with it at all.
A Look at DODO on Mobile. Image via Coin98One of the things that stood out when using the DODO swap feature was the efficiency of the trades. Each trade was completed within the expected time, and I didn’t encounter a single issue with failed transactions or having to retry transactions, which is an issue that is encountered on many DeFi platforms.
Deposits and Withdrawals at DODO
DODO does not support fiat purchases or deposits with credit/debit cards or bank transfers. Like most decentralized exchanges, only crypto transactions to and from a cryptocurrency wallet are supported.
DODO Token (DODO) Uses and Performance
The DODO token was originally launched as an ERC-20 token but has since expanded to multiple networks. DODO acts as the native governance token for the platform and is also used for incentivizing liquidity provisioning. There is a total supply of 1 billion tokens with a distribution that looks like this:
The distribution of the 1 billion DODO tokens. Image via Binance ResearchDODO expanded to the Binance Smart Chain, accessing more markets and users on a more cost-efficient network. The expansion to the Binance network also led to the token being listed on the Binance Launchpad in a farming round that ended on March 4, 2021. That farming round resulted in a pool of 641,710.8000 DODO that were farmed by staking BNB tokens. There was also a BETH pool with 320,855.4 DODO in rewards and a BUSD pool with 106,951.8 DODO in rewards.
Like most tokens, DODO saw its all-time high during the 2021 bull market where it skyrocketed completely vertically, reaching $8.38, before crashing back down with the rest of the market to $0.12, a drop of 98%... Ouch 🤕
That is Some Nasty Looking Price Action. Image via CoinmarketcapBut we know that price isn’t everything. Metrics like total value locked and platform activity can show us a more 360-degree holistic view of the health of a platform. Unfortunately, these metrics don't paint a rosy picture for DODO either. According to DefiLlama, its TVL has been steadily declining, now sitting at $16.73 million.
DODO TVL Has Been Steadily Declining Since Early 2022. Image via DefiLlamaThough what isn’t looking so rosy is that monthly trading volume on DODO has fallen drastically as much of the interest in crypto and DeFi has left during the bear market that we currently find ourselves in, and Uniswap continues to dominate market share among major DEX protocols.
Monthly trading volume has been largely moving sideways durning this period. However, these metrics could start to show signs of improvement as the markets slowly heat up and interest begins returning to DeFi and the broader crypto space.
DODO Trading Volume. Image via DefiLlamaIn 2021, DODO launched DODO v2, which gave rise to two additional utilities for the DODO token. The token can be used for trading fee discounts, crowdpooling, and IDO allocations.
In addition, a new non-transferable vDODO token has been created to serve as proof of membership in the DODO loyalty program. The token can be minted at a rate of 1 vDODO = 100 DODO. The vDODO token has the following benefits:
- Governance rights: Holders can create and vote on proposals. 1 vDODO = 100 votes
- Crowdpooling and IDO allocations
- Trading fee discounts
- Dividends paid out from trading fees (exclusive to vDODO token holders): A proportion of the trading fees accrued on the platform will be distributed to vDODO holders.
- vDODO membership rewards (exclusive to vDODO token holders): DODO reward tokens will be distributed to vDODO holders every block.
DODO Customer Support
DODO has a fantastic self-help section, full of well-laid-out and useful how-to articles and tutorials. DODO Docs is also a good resource that explains the different features of the platform and provides some in-depth information and the protocol’s Whitepaper.
A Look at DODO’s FAQ Site.DODO has a fantastic community that is active and moderators that can help answer any questions or technical issues on Discord. When I reached out to test the quality of support on Discord, each of my questions and issues was resolved within minutes, which was great to see. Very impressed with the support and community. Here are the links to their socials, community, and support:
DODO Top Benefits Reviewed
DODO has done a fantastic job overcoming many of the issues that exist in the traditional AMM DEX model, such as reducing slippage and impermanent loss risk. That in itself is a huge benefit of using the DODO DEX.
On top of that, the fractionalized NFT marketplace is also a great feature for those looking to create, manage, and sell NFTs. Here is how DODO benefits market participants:
- For Traders- The protocol has high liquidity making transaction execution seamless. The liquidity pool is based on smart contracts, eliminating external controls, influences, manipulations, and other issues that can exist on centralized exchanges. Arbitrageurs' influence is also drastically minimized on DODO.
- For Liquidity Providers- DODO does not restrict what digital assets can be provided for liquidity pools. There are no minimum deposit requirements, and LPs can develop their trading pair and deposit their assets to reduce price risks. LPs can also benefit from earning a portion of the trading fees on the DEX and staking LP tokens.
- For Projects- Projects can list their tokens easier on DODO, with no requirement for quote tokens, which is not possible with other AMM protocols. Projects can simply deposit their tokens in the liquidity pool and set a constant oracle price.
The final area where DODO is absolutely crushing it is by expanding its utility and features to multiple other chains including Ethereum layer 2’s and competing layer 1 protocols.
What can be Improved
I couldn’t find much fault with the workings of the platform itself. DODO delivers exactly what it promises.
My only concern with the platform is that usage and TVL continues to drop. Despite the fact that DODO is superior to many competitors, DODO remains the #8 DEX on ETH and #29th DEX overall, losing market share against the likes of Uniswap, Balancer, SushiSwap, and blimey, even sitting below ShibaSwap... Brutal.
DODO could benefit from a serious marketing or PR campaign to bring users to the platform if they expect to thrive in this cutthroat DEX market.

DODO Review Conclusion
The DODO protocol has revolutionized and advanced the DeFi space with the invention of the Proactive Market Maker algorithm, an evolution of the traditional Automated Market Maker algorithm that came before it.
This new technology offers a better trader and investor experience when using the DEX, removing fears of impermanent loss, slippage, and providing a safer environment for traders and liquidity providers. Thanks to the oracle integration, market prices on DODO are also more stable and liquidity is maintained more efficiently.
DODO is an outstanding DEX, and after using it myself, it was clear that they have built and improved upon the groundwork laid by popular DEXs like Uniswap and SushiSwap. The Private Pool, Vending Machine, and NFT Vaults are also fantastic features, enhancing the utility and usefulness of the DODO platform. The interface is very slick and easy to use, making staking and liquidity contribution a breeze.
DODO FAQs
Is DODO a good crypto project?
Though the popularity of DODO, like many DeFi projects, has waned significantly during the bear market, it was one of the dominant platforms in 2021 and remains a very good crypto project for those looking to take advantage of the features outlined in this article.
I admit that I am guilty of sticking to what I know and am familiar with. Uniswap has always been my DEX of choice, simply because it was the first one I ever used. After becoming familiar with DODO, I can see this becoming my primary DEX once it makes it back into the top 5 DEXes for TVL, as it is superior in many aspects.
Is DODO a good investment?
DEX tokens have provided investors with some of the most handsome ROIs in all of crypto. Early investors in platform tokens like Uniswap and DODO have experienced impressive gains, with early DODO investors enjoying an insane 12,476% if they got in at pre-sale and sold at the all-time high.
Currently, DODO is down over 95%. Investors who feel that the DODO DEX is likely to see the adoption and use of the platform that it experienced in 2021 are highly bullish on the project and consider the DODO token at a massive discount. IF the token is able to reach its previous all-time highs, getting in at these low prices could provide a very lucrative opportunity.
At the Coin Bureau, we, of course, do not give investment advice. DODO investors believe in the long-term adoption and growth of the platform, and the price appreciation of the DODO token. There are risks involved as this platform has seemed to fallen out of favour with users in recent months, and DeFi project speculation is very risky. Be sure to DYOR before making any decisions.
Is DODO a good exchange?
Yes, DODO is a fantastic exchange for those looking to swap tokens on the ETH, BSC, Polygon, Arbitrum, HECO, OKchain, Aurora, MoonRiver, Boba, Optimism, Avalanche, or Cronos networks.
DODO is a high-performance DEX, one of the best for multi-network support and a go-to for projects looking to launch tokens. Its state-of-the-art PMM algorithm is an improvement upon the AMM algorithm used by most DEX platforms, providing a safer and more reliable ecosystem for traders, token issuers, and liquidity providers.
Is DODO decentralized?
Yes, DODO is a fully decentralized exchange (DEX) that supports the swapping of tokens on multiple networks, staking, and liquidity provision, as well as features an NFT fractionalization platform and token issuer service.




